✨Bài Tập Toán Học Cao Cấp - Tập 3 - Chuỗi Và Phương Trình Vi Phân














Nội dung gồm: Chương I: Tập hợp và ánh xạ. Chương II: Cấu trúc đại số - số phức - đa thức và phân thức hữu tỉ. Chương III: Ma trận - định thức - hệ phương trình tuyến tính Chương IV: Hình học giải tích Chương V: Không gian vectơ - không gian euclid Chương VI: Ánh xạ tuyến tính Chương VII: Trị riêng và vectơ riêng của toán tử tuyến tính Chương VIII: Dạng toàn phương




Sách - Hóa Học Hữu Cơ Tập 2 Tác giả: Đặng Như Tại - Ngô Thị Thuận Nhà xuất bản: Nhà xuất bản Giáo dục Việt Nam Năm xuất bản: 2025 Số trang: 714 Kích
Tên đề tài: Sách - Combo Bài Tập Toán Cao Cấp Tập 1 + Tập 2 + Tập 3 Tác giả: Nhiều tác giả Nhà xuất bản: Nhà Xuất Bản Giáo Dục Việt Nam Đơn
Tên đề tài: Sách - Combo Toán Học Cao Cấp Tập 1 + 2 + 3 Tác giả: Nhiều tác giả Nhà xuất bản: Nhà Xuất Bản Giáo Dục Việt Nam Đơn vị phát hành:
Nội dung gồm có: Chương I. Khái quát văn học trung đại Việt Nam Chương II. Văn học thế kỉ X- thế kỉ XIV Chương III. Văn học thế kỉ XV- thế kie XVII Chương

Sách - Combo Hóa Học Vô Cơ Cơ Bản Tập 1 + Bài Tập Lí Thuyết Đại Cương Về Hóa Học (DN) Gồm 2 cuốn : Hóa Học Vô Cơ Cơ Bản Tập 1 Lí
Tên sách: Bài tập Hoá học vô cơ, Quyển III, Hoá học các nguyên tố - A. Nguyên tố tiêu biểu, B. Kim loại chuyển tiếp Tác giả: Hoàng Nhâm, Hoàng Nhuận Ngữ xuất bản:
Tên sách: Cơ Sở Lí Thuyết Các Phản Ứng Hóa Học Tác giả: Trần Thị Đà – Đặng Trần Phách Loại bìa: Bìa mềm Số trang: 504 Khổ sách: 19 x 27cm Năm xuất bản:
Tên sách: Lịch sử thế giới cận đại Tác giả: Vũ Dương Ninh, Nguyễn Văn Hồng Số trang: 564 Khổ sách: 16 x 24 Hình thức xuất bản: Tái bản Năm tái bản: 2024 Nhà
Giáo Trình Kỹ Thuật Lập Trình C Cơ Sở Và Nâng Cao Giáo trình kỹ thuật lập trình C căn bản và nâng cao được hình thành qua nhiều năm giảng dạy của các tác
Sách - Combo: Toán Cao Cấp Và Bài Tập Toán Cao Cấp Tập 1 - Đại Số Và Hình Học Giải Tích Tác giả: Nhiều tác giả Nhà xuất bản: Nhà xuất bản Giáo dục
Tên đề tài: Sách - Combo Toán Cao Cấp Tập 1 + Bài Tập - Đại Số Và Hình Học Giải Tích Tác giả Nguyễn Đình Trí (Chủ biên)- Trần Việt Dũng- Trần Xuân Hiển-
Nội dung gồm có: Chương I. Chuỗi Chương II. Phương trình vi phân Chương III. Giải bài toán Cauchy đối với phương trình vi phân tuyến tính với hệ số không đổi bằng phép biến
Sách - Combo: Toán Học Cao Cấp Và Bài Tập Toán Cao Cấp Tập 3 - Phép Tính Giải Tích Nhiều Biến Số Tác giả: Nhiều tác giả Nhà xuất bản: Nhà xuất bản Giáo
Tên sách: Bài tập Toán học cao cấp Tập hai - Giải tích Tác giả: . Nguyễn Đình Trí (Chủ biên) - . Trần Việt Dũng - . Trần Xuân Hiển - . Nguyễn Xuân
Tên sách: Toán học cao cấp Tập hai: Giải tích Tác giả: ễn Đình Trí (Chủ biên) - . Trần Việt Dũng - . Trần Xuân Hiển - . Nguyễn Xuân Thảo Số trang: 424
Tên đề tài: Lịch sử thế giới hiện đại Tác giả: Nguyễn Anh Thái (Chủ biên), Đỗ Thanh Bình, Nguyễn Quốc Hùng, Vũ Ngọc Oanh, Đặng Thanh Toán, Trần Thị Vinh Khổ sách: 16 x
Thông tin sản phẩm Tên đề tài: Lịch sử văn minh thế giới Tác giả: Nguyễn Văn Ánh Khổ sách: 16 x 24 cm Số trang: 468 trang Năm tái bản: 2022 Nhà xuất bản:
Sách - Combo: Toán Học Cao Cấp Và Bài Tập Toán Cao Cấp Tập 2 - Phép Tính Giải Tích Một Biến Số Tác giả: Nhiều tác giả Nhà xuất bản: Nhà xuất bản Giáo
Sách - Xác suất thống kê - Dành cho sinh viên các trường kỹ thuật và công nghệ Tác giả: PGS. TS. Tô Văn Ban Nhà xuất bản: Nhà Xuất Bản Giáo Dục Việt Nam
Tác giả: Hoàng Nhầm Nhà xuất bản: Nhà Xuất Bản Giáo Dục Việt Nam Ngày xuất bản: 2025 Số trang : 328 Kích thước 19 x 27 cm Loại bìa: Mềm =========================================== Nội dung :
Một nền văn học rực rỡ kéo dài gần nghìn năm – nay được hệ thống hóa và trình bày trong một công trình giáo trình bài bản, hiện đại và đầy đủ nội dung.
Tên sách: Vật lý đại cương tập 3 - Bài tập Vật lý đại cương tập 3 Tác giả: Lương Duyên Bình (Chủ biên) Khổ sách: 14.5 x 20.5 Số trang: 472 Nhà xuất bản:
Nội dung gồm có: Phần một. Cấu tạo từ Phần hai. Từ loại tiếng Việt Phần ba. Cụm từ Chương I. Khái quát về cũng từ Chương II. Cụm danh từ Chương III. Cụm động
Tác giả : Hoàng Nhâm Nhà xuất bản: Nhà Xuất Bản Giáo Dục Việt Nam Ngày xuất bản: 2025 Số trang: 292 Kích thước: 19 x 27 cm Loại bìa: Mềm =================================== Nội dung :
Tên sách: Vật lí đại cương tập 2 - Bài tập Vật lí đại cương tập 2 ( Điện dao động sóng) Tác giả: Lương Duyên Bình Khổ sách: 14.5 x 20.5 cm Số trang:
Công ty Học Liệu Sư Phạm giới thiệu: Tác giả : Nhiều tác giả Nhà xuất bản: Nhà Xuất Bản Giáo Dục Việt Nam Ngày xuất bản: 2025 Số trang: 276 Kích thước: 19 x
Combo Giáo Trình Quản Trị Học + Quản Trị Học (Bộ 2 Cuốn) Với mong muốn có được một cuốn giáo trình giảng dạy Quản trị học, nhóm tác giả đã biên soạn cuốn Giáo Trình
Giáo trình Hoá học Vô cơ này đã được viết và giảng dạy từ những năm 50 của thế kỷ trước cho sinh viên khoa Hoá học trường Đại học Tổng hợp Hà Nội trước
Thị trường chứng khoán là một bộ phận không thể thiếu trong điều kiện nền kinh tế thị trường. Từ khi thành lập đến nay, thị trường chứng khoán Việt Nam đã đạt được nhiều
Nhằm đáp ứng yêu cầu nâng cao kiến thức về hóa học hữu cơ ở bậc đại học, chúng tôi biên soạn giáo trình Hóa học Hữu cơ gồm hai tập, mỗi tập
Mô phỏng số và điều khiển các hệ cơ học được viết nhằm phục vụ trực tiếp cho học viên cao học chuyên ngành Cơ học Kỹ thuật và Cơ Điện tử. Các phần của
Chúng tôi biên soạn cuốn Giáo trình bệnh học trẻ em nhằm đáp ứng nhu cầu của sinh viên đại học ngành Giáo dục Mầm non hiện nay. Nội dung giáo trình cung cấp
Tên sách: Phong cách học tiếng việt Tác giả: Đinh Trọng Lạc (Chủ biên), Nguyễn Thái Hoà Khổ sách: 14.5 x 20.5 Số trang: 320 Năm tái bản: 2022 Đơn vị in phát hành: Công ty CP Sách Đại học -
Sách Giáo Trình Cơ Sở Mỹ Thuật Dành Cho Sinh Viên Kiến Trúc Tập 3 nhà xuất bản : xây dựng nhà phát hành : nhà xuất bản xây dựng năm xuất bản : 2021
Nội dung cuốn sách "Giáo Trình Lịch Sử Nghệ Thuật - Tập 1" bao gồm những chương mục sau đây: - Chương 1: Nghệ thuật là gì và ngôn ngữ nghệ thuật. - Chương 2:
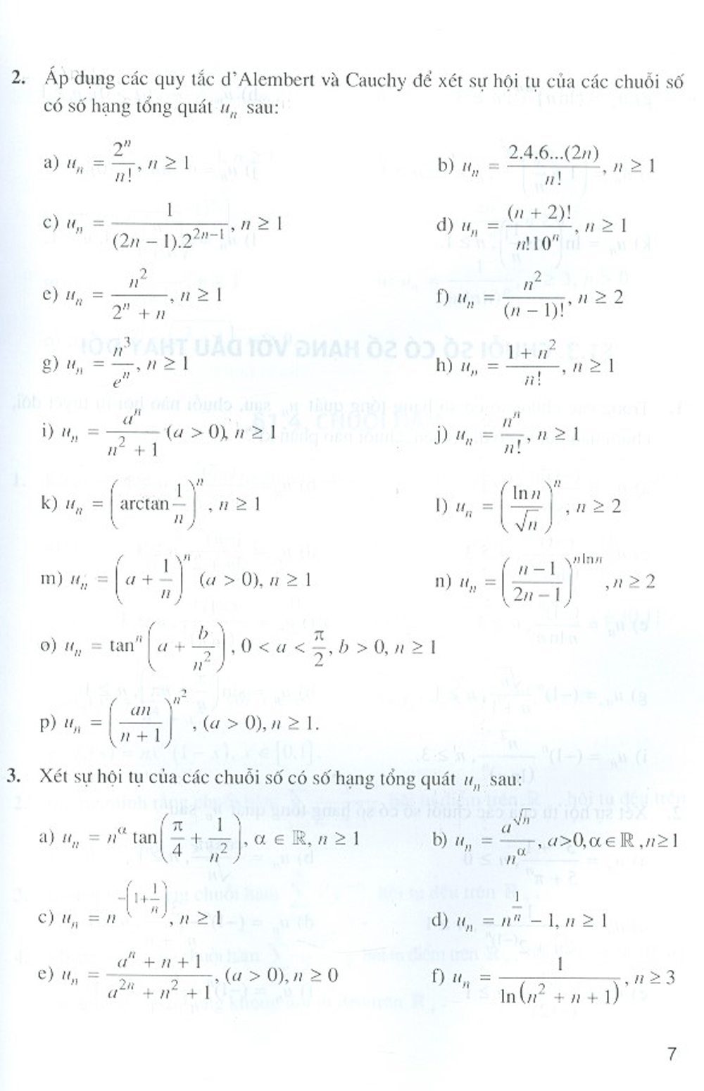
Thông thường, giữa lý thuyết và bài tập của một môn học bao giờ cũng được gắn kết chặt chẽ với nhau. Để làm được các dạng bài tập, người học cần hiểu kỹ lý
Cấu tạo kiến trúc là môn học nghiên cứu các bộ phận tạo thành ngôi nhà từ móng đến mái, từ đó biết được vị trí, tác dụng, hình dạng, kích thước, liên kết giữa
Nội dung gồm có: 1. Chuỗi 2. Phương trình vi phân 3. Giải bài toán Cauchy đối với phương trình vi phân tuyến tính với hệ số không đổi bằng phép biến đổi Laplace
Nội dung gồm có: Chương 1: Văn học, hình thái ý thức xã hội thẩm mĩ Chương 2: Văn học với hiện thực đời sống Chương 3: Ý thức xã hội trong văn học Chương
Giới thiệu những vấn đề chung của tâm lý học quản lý. Trình bày tâm lý học trong công tác quản lý cá nhân và quản lý tập thể, đồng thời phân tích nhân cách
Nội dung gồm: Chương I: Tập hợp và ánh xạ. Chương II: Cấu trúc đại số - số phức - đa thức và phân thức hữu tỉ. Chương III: Ma trận - định thức -
Sách: Động Vật Học Không Xương Sống TÁC GIẢ: Thái Trần Bái ĐƠN VỊ PHÁT HÀNH: Công ty Cổ phần Sách Đại học - Dạy nghề NXB: NXB Giáo dục Việt Nam Cấu trúc nội
Cung cấp những kiến thức cơ bản về thực trạng, các khái niệm liên quan, hình thức, yếu tố ảnh hưởng và hậu quả của bạo lực học đường. Vận dụng một số lý thuyết,
Có những nghịch lý trong hệ thống giáo dục hiện nay buộc các nhà giáo dục học phải suy nghĩ: Trong suốt cuộc đời đi học, từ lớp vỡ lòng đến hết bậc đại học
Bộ giáo trình lý luận chính trị gồm 5 cuốn dành cho bậc đại học hệ không chuyên lý luận chính trị. Bộ sách là tài liệu giảng dạy, học tập cho giảng viên, sinh
Nội dung: Chương 1: Phổ hấp thụ hồng ngoại và phổ tán xạ Raman Chương 2: Các phép đối xứng phân tử và nhóm đối xứng Chương 3: Xác định các kiểu dao động phân
Bài tập Lí thuyết Module - NXB Đại học Sư phạm Tác giả: Dương Quốc Việt (CB) – Lê Văn Đính – Đặng Đình Hanh – Đào Ngọc Minh – Nguyễn Công Minh – Trương
Giáo Trình C++ Và Lập Trình Hướng Đối Tượng Lập trình cấu trúc là phương pháp tổ chức, phân chia chương trình thành các hàm, thủ tục. Chúng được dùng để xử lý dữ liệu
Big Data - Công Nghệ Cốt Lõi Trong Kỷ Nguyên Số Khi thuật ngữ dữ liệu lớn lần đầu xuất hiện, tác giả các cuốn sách bán chạy nhất Thomas Davenport (Competing on Analytics, Analytics
Giáo Trình Lập Kế Hoạch Kinh Doanh Giáo trình này giúp sinh viên thực hiện hóa những ý tưởng kinh doanh tạo dựng một quy trình kinh doanh nhỏ bắt đầu lên những ý
Xúc tác hóa dầu:
Từ trước đến nay, chính luận luôn là nhóm thể loại báo chí với những thể loại “đại bác”, có sức nặng, giàu tính phản biện, chiến đấu, được coi trọng trong nghề báo. Tuy
Giáo Trình C++ Và Lập Trình Hướng Đối Tượng ------------ Giáo Trình C++ Và Lập Trình Hướng Đối Tượng Lập trình cấu trúc là phương pháp tổ chức, phân chia chương trình thành các
Mô Tả Sản Phẩm Nghiệp vụ hướng dẫn du lịch hiện là một môn học được giảng dạy trong hầu hết các trường có liên quan đến ngành Du lịch, giới thiệu những kiến thức
Tác giả: Ngô Thị Thuận Năm XB: 2025 ( Sách mới tái bản) Số trang: 220 Khổ sách : 19 x 27 Nhà xuất bản: NXBGDVN Chương 1. Bài tập trắc nghiệm - Bài tập
Ngày nay, điều hoà tiện nghi không thể thiếu trong các toà nhà, khách sạn, văn phòng, nhà hàng, các dịch vụ du lịch, văn hoá, y tế, thể thao mà còn cả trong các
Tên đề tài: Sức bền vật liệu (Lý thuyết và bài tập - Dùng cho các trường ĐH kỹ thuật) Tác giả: Nhữ Phương Mai Khổ sách: 16.0 x 24.0 Năm xuất bản: 2010
Vật Liệu Kỹ Thuật - Tập 2 (Chế tạo, cấu trúc, tính chất, lựa chọn và ứng dụng) nội dung gồm 6 chương: Chương 5: Tổ chức vật liệu Chương 6: Vật liệu kim loại
👁️ 245 | ⌚2025-09-29 16:21:08.330
Bài tập 1-2 Chương 1 Toán cao cấp 2 EPU
Giải tích 6.4 PTVP Cấp 1: Phương trình Vi phân tách biến và 3 dạng quy về tách biến
Phương trình vi phân tuyến tính và Bernoulli
Phương trình vi phân có biến phân li và phương trình vi phân đẳng cấp
Giải tích 6.2 PTVP Cấp 1: Phương trình Vi phân Toàn phần - Phần 1
Giải tích 6.1 Nghiệm tổng quát và Tích phân tổng quát của phương trình vi phân

Bài tập 1-2 Chương 1 Toán cao cấp 2 EPU
Giải tích 6.4 PTVP Cấp 1: Phương trình Vi phân tách biến và 3 dạng quy về tách biến
Phương trình vi phân tuyến tính và Bernoulli
Phương trình vi phân có biến phân li và phương trình vi phân đẳng cấp
Giải tích 6.2 PTVP Cấp 1: Phương trình Vi phân Toàn phần - Phần 1
Giải tích 6.1 Nghiệm tổng quát và Tích phân tổng quát của phương trình vi phân

THÔNG TIN CHI TIẾT - Chất liệu cao cấp: Vải 100% nylon kết hợp lưới, vừa bền chắc, vừa thoáng khí. - Thiết kế phối màu cá tính: Phần trước xanh than kết hợp lưới
- Thương hiệu: HUONGTAM - Chất liệu vải: Nhẹ nhàng, thoáng mát, không nhăn, không phai màu - Hoa tiết:Sọc dọc-Caro- Hoa văn - SKU: PDT01N18 - Model : Pyjama - Kiểu đồ ngủ, gồm:
- Thương hiệu: HUONGTAM - Chất liệu vải: Nhẹ nhàng, thoáng mát, không nhăn, không phai màu - Hoa tiết:Sọc dọc-Caro- Hoa văn - SKU: PNT02N18 - Model : Pyjama - Kiểu đồ ngủ, gồm:
- Thương hiệu: HUONGTAM - Chất liệu vải: Nhẹ nhàng, thoáng mát, không phai màu. - Hoa tiết:Sọc dọc-Caro- Hoa văn. - SKU: PNK02N18 - Model : Pyjama - Kiểu đồ ngủ, gồm: Áo và
Sắc màu thời trang, họa tiết ấn tượng Chất liệu cao cấp, dành cho sân cỏ nhân tạo Độ ma sát tốt - hỗ trợ xử lý bóng bằng đế giày Giúp bạn thể hiện
- Thương hiệu: HUONGTAM - Chất liệu vải: Nhẹ nhàng, thoáng mát, không nhăn, không phai màu - Hoa tiết:Sọc dọc-Caro- Hoa văn - SKU: PDP01N18 - Model : Pyjama - Kiểu đồ ngủ, gồm:
SET ĐỒ LAM ĐI CHÙA CAO CẤP SS2 Với thiết kế theo xu hướng tối giản, trẻ trung nhưng không kém phần tinh tế và hiện đại. Mẫu trang phục mới vẫn trung thành với
Chất Vải Gấm Hoặc Lụa Pháp Cao Cấp Chất Vải Đẹp , Không Phải Hàng Chợ Rẻ Tiền Đâu ah. Mặc Vô Cảm Giác Thoải Mái, Có Độ Co Giản Nhẹ Lụa Pháp, Không Nhăn.
Chất Vải Lụa Pháp Phối Gấm Cao Cấp Hoặc Vải Lụa Phối Gấm Tuỳ Màu Và Size Nên Chất Vải Khác Nhau Quần Ống Rộng Cổ Áo Chui Không Cài Nút BÁN LẺ GIÁ SỈ
Mẫu La Hán Nam Nữ Đều Mặc Được Cùng Một Kiểu, Cùng Một Mẫu, Không Phân Biệt Nam Hay Nữ, Size 1 hay Size 2 Nam Nữ Đều Có Kích Thước Như Shop Đo Dưới
Đẹp Từng Đường Kim Mũi Chỉ, Hàng Đạt Chất Lượng Xuất Khẩu BÁN LẺ GIÁ SỈ Chú Ý Khi Đặt Hàng Nhớ Chọn Lấy Mã Miễn Phí Vận Chuyển Và Áp Dụng Mã Miễn Phí
Đẹp Từng Đường Kim Mũi Chỉ, Hàng Đạt Chất Lượng Xuất Khẩu BÁN LẺ GIÁ SỈ Chú Ý Khi Đặt Hàng Nhớ Chọn Lấy Mã Miễn Phí Vận Chuyển Và Áp Dụng Mã Miễn Phí
- New Design chuyên hàng thiết kế những mẫu chân váy đẹp, mới lạ, thanh lịch công sở, văn phòng, hẹn hò đều đẹp. Nay shop xin giới thiệu cùng bạn mẫu Áo lụa nữ
Mũ bảo hiểm Sunda Halya là loại mũ nửa đầu được sản xuất bởi Công Ty TNHH LongHuei Việt Nam, là một công ty chuyên sản xuất mũ bảo hiểm với gần ba mươi năm
Dưỡng Thể Prettyskin Alpha Arbutin Body Lotion Thương hiệu: Prettyskin Xuất xứ: Hàn Quốc Dung tích: 250ml + Pretty Skin Alpha Arbutin Body Lotion gồm: - Chai màu hồng Glutathione V10 dành cho ban ngày
Thiết kế tiện lợi, dễ sử dụng, dung tích 0.7L Máy vắt cam CM9924 với màu đen sang trọng, lôi cuốn, có thiết kế nhỏ gọn nhưng không kém phần sang trọng, được chế tạo bằng
Máy xay thịt đa năng Mini nhỏ gọn - trợ thủ đắc lực cho mọi gia đình. MỖI GIA ĐÌNH PHẢI CÓ 01 CÁI - Công dụng: Xay thịt, cá , rau cũ, tiêu, tỏi,
Giới thiệu Củ Sạc Nhanh C+A USAMS CC270 30W (GaN Charger) Củ Sạc Nhanh C+A USAMS CC270 30W ứng dụng công nghệ GaN (Gallium Nitride) tiên tiến, mang đến khả năng sạc nhanh chuẩn PD 30W
Đồ Chơi Lắp Ráp Chậu Hoa 534Pcs 1674 LOZ - Đồ chơi lắp ráp là đồ chơi thông minh trí tuệ giúp phát triển não bộ trẻ em, tăng khả năng quan sát, tập trung
Đồ Chơi Lắp Ráp Vịt Là đồ chơi lắp ráp mô hình sáng tạo nhiều khối và minifigs nhân vật búp bê, giúp phát triển trí tuệ dành cho trẻ từ do_tuoi trở lên. Là