✨Cambridge Preliminary English Test 5 Student's Book with Answers

















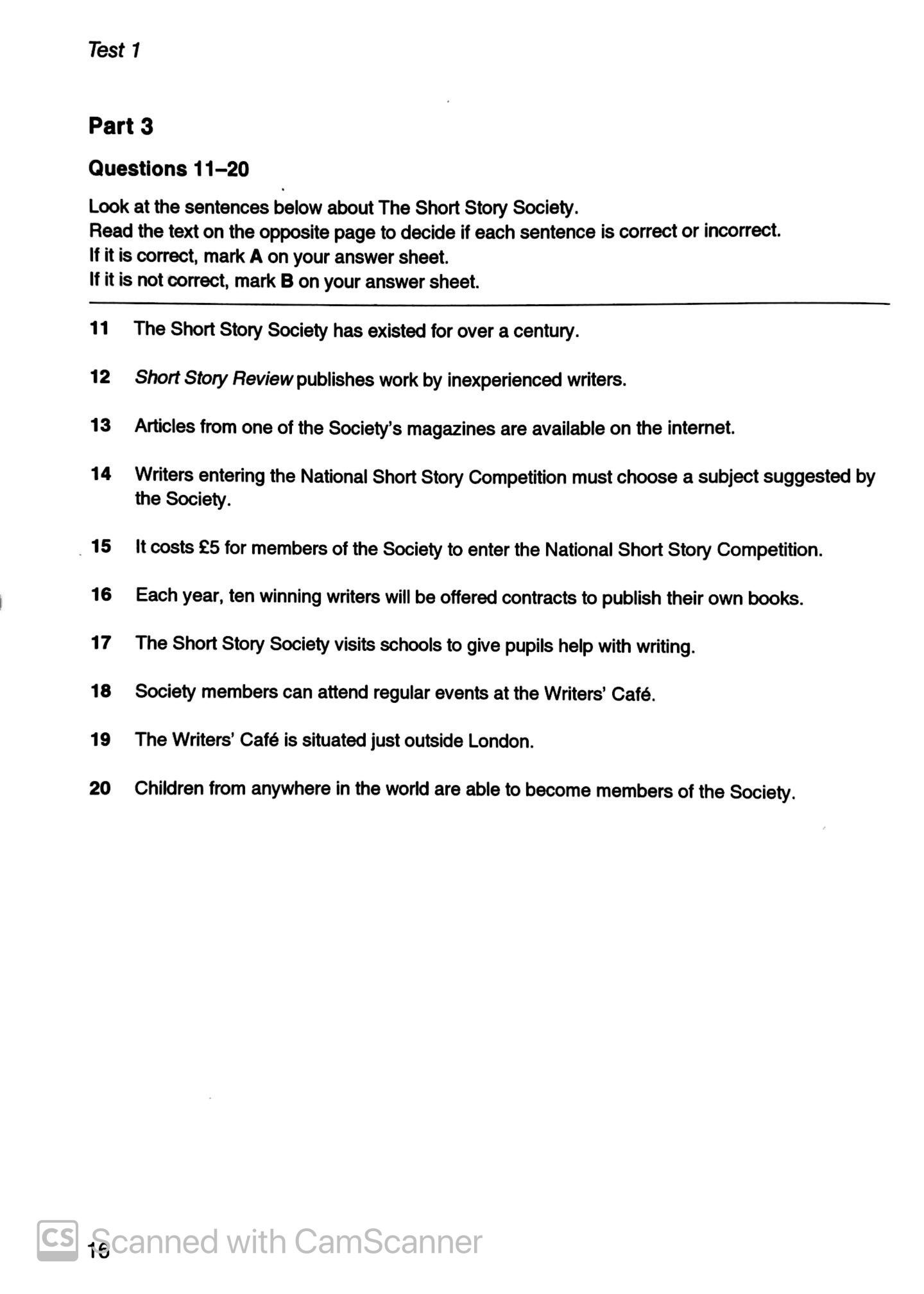
The Cambridge Preliminary English Test 5 practice tests provide candidates with an excellent opportunity to familiarise themselves with the 2004 PET exam and to practise examination techniques. The Student's Book contains practice material for Paper 1 (Reading and Writing) and Paper 2 (Listening), along with attractive colour visual material for Paper 3 (Speaking), enabling students to prepare thoroughly for the paired Speaking test. The Student's Book is available with or without answers.




Kid's Box 2nd ed Activity Book with Online Resources Level 6
Kid's Box 2nd ed Activity Book with Online Resources Level 1
Kid's Box Second edition Pupil's Book Level 6
Kid's Box Second edition Pupil's Book Level 3
Kid's Box Second edition Pupil's Book Level 1
Family & Friends (2 Ed.) 1: Workbook Family and Friends offers a carefully graded approach to reading, writing and literacy skills in English to young learners. No other course offers you the same benefits as
Family and Friends offers a carefully graded approach to reading, writing and literacy skills in English to young learners. No other course offers you the same benefits as Family and Friends. The exceptionally strong skills
New Get Smart 2 Flashcards New Get Smart là một khóa học chính đưa những học sinh từ trình độ sơ cấp đến trung cấp, đồng thời xem xét cẩn thận nhu cầu và sở
New Get Smart 4 Flashcards New Get Smart là một khóa học chính đưa những học sinh từ trình độ sơ cấp đến trung cấp, đồng thời xem xét cẩn thận nhu cầu và sở
Cambridge English Empower is a general adult course that combines course content from Cambridge University Press with validated assessment from the experts at Cambridge English Language Assessment. The Pre-intermediate Student's Book gives learners an immediate
Everybody Up (2E) 4 Student Book Everybody Up gets students talking about the real world. Posters, videos, stories, and songs link English to other school subjects and universal values, developing global citizens with 21st century
Oxford Phonics World Refresh 5 Students Book Pack Oxford Phonics World is the first step on your students' journey into English, leading you through all 44 sounds .
English File 4th Edition: Intermediate: Student's Book With Online Practice The English File fourth edition Student's Book is packed full of interesting content to keep students of all levels talking. Online Practice gives students the
Starlight: Level 4: Workbook Using a clear 'engage - practice - communicate' approach in every lesson, Starlight's lively stories, songs, projects, CLIL lessons and high-level course syllabus help students master the language they need for exams
English World 5: Pupil Book with eBook Pack English World is a stunningly visual ten-level course which will take children through from primary to secondary. Written by the authors of best-sellers Way Ahead and Macmillan
Provides more practice to consolidate the Student Book Alphabet Writing Practice familiarizes children with upper and lower case letter shapes
Kid's Box Second edition Pupil's Book Level 5
Voices Advanced - Workbook With Answer Key
Let's Go: Level 3: Workbook With Online Practice - 5th Edition Inspire students to enjoy learning in English with a trusted methodology and easy-to-use teaching tools. Let's Go 5th Edition provides lively and motivating activities
Plus de 50 règles et astuces pour ne plus faire de fautes en orthographe ! Vous hésitez entre a et à, ou et où, et et est, quoique et quoi ? En un clin d'oeil,
ACCESS Series – Grade 6-9 is an ELT series that specially designed specifically for secondary students with English advance programs, based on the method of language synthesis. Levels: 4 cấp độ, từ Lớp 6 –
Super Safari: Super Safari British English edition is a three-level pre-primary course that welcomes very young children to English through stories, songs and plenty of playtime while supporting their cognitive, motor-sensory and social development. Join
Prepare A1 Level 1 Workbook With Audio Download PREPARE 2nd edition Level 1 provides a foundation for levels 2 and 3 which prepare students for the revised 2020 A2 Key for Schools exam. The Level
English World is a stunningly visual ten-level course which will take children through from primary to secondary. Written by the authors of best-sellers Way Ahead and Macmillan English, English World combines best practice methodology with
Academy Award-winning screenwriter Quentin Tarantino returns with his most infamous, most brilliant, most masterful screenplay At the end of the Civil War, a stagecoach hurtles through the wintry Wyoming landscape. Bounty hunter John Ruth and
Nikkei Asia là tạp chí tiếng Anh có tên tuổi thuộc tập đoàn Nikkei - Nhật Bản, chuyên viết về những xu hướng kinh tế, công nghệ, chính trị của các nước trong khu vực
Nikkei Asia là tạp chí tiếng Anh có tên tuổi thuộc tập đoàn Nikkei - Nhật Bản, chuyên viết về những xu hướng kinh tế, công nghệ, chính trị của các nước trong khu vực
Nikkei Asia là tạp chí tiếng Anh có tên tuổi thuộc tập đoàn Nikkei - Nhật Bản, chuyên viết về những xu hướng kinh tế, công nghệ, chính trị của các nước trong khu vực
Nikkei Asia là tạp chí tiếng Anh có tên tuổi thuộc tập đoàn Nikkei - Nhật Bản, chuyên viết về những xu hướng kinh tế, công nghệ, chính trị của các nước trong khu vực
Nikkei Asia là tạp chí tiếng Anh có tên tuổi thuộc tập đoàn Nikkei - Nhật Bản, chuyên viết về những xu hướng kinh tế, công nghệ, chính trị của các nước trong khu vực
Nikkei Asia là tạp chí tiếng Anh có tên tuổi thuộc tập đoàn Nikkei - Nhật Bản, chuyên viết về những xu hướng kinh tế, công nghệ, chính trị của các nước trong khu vực
Grammar Friends: 2: Student Book The step-by-step grammar presentations in Grammar Friends introduce form, use and meaning in a way that even young beginner learners can understand and remember. The series was written to support
The Cambridge Preliminary English Test 5 practice tests provide candidates with an excellent opportunity to familiarise themselves with the 2004 PET exam and to practise examination techniques. The Student's Book contains practice material for Paper
Kid's Box 2nd ed Activity Book with Online Resources Level 5
English Plus: Level 1: Student's Book 1 The English Plus Student's Book provides plenty of carefully planned practice to build students' confidence whatever their ability. Extra material offers flexible options so that you can cater to different
Ferris Wheel Level 1 Activity Book The Ferris Wheel Activity Book offers further practice of all the language and content which has been introduced in the Student's Book.
Build conversation skills, with functional language in the new Fluency Time! sections - even see the conversations in action, on the Fluency DVD. Cross-curricular lessons present language in natural, real-life contexts. Students can take their
American Family And Friends: Level Five: Workbook We asked what teachers liked and what they wanted to change. They told us - and we listened. Fluency development. Cross-curricular lessons and projects. Online Play. Just a
Brighter Ideas 3 - Student Book With Online Practice Brighter Ideas is designed to engage students enquiring minds, encouraging them to participate in discussions about real-world topics, and achieve results. With a range of flexible
Prepare B1 Level 5 Workbook with Audio Download PREPARE 2nd edition Level 5 combines 'teen-appeal' topics with extensive preparation for the revised 2020 A2 Key for Schools exam. The Level 5 Workbook provides additional reading,
Big English AmE 2Ed Level 2 Value Pack (SB + WB) Big English is a 6-level, intensive primary course. Designed for achieving results, Big English provides a curriculum that delivers comprehensive English language acquisition underpinned
Let's Begin: Level 2: Student Book - 5th Edition Inspire students to enjoy learning in English with a trusted methodology and easy-to-use teaching tools. Let's Go 5th Edition provides lively and motivating activities and offers
Provides more practice to consolidate the Student Book Picture Dictionary (Levels 1-4) helps with vocabulary practice Grammar Reference Guide (Levels 5-6) offers more practice, and allows students and teachers to check grammar rules
Build conversation skills, with functional language in the new Fluency Time! sections - even see the conversations in action, on the Fluency DVD. Cross-curricular lessons present language in natural, real-life contexts. Students can take their
Build conversation skills, with functional language in the new Fluency Time! sections - even see the conversations in action, on the Fluency DVD. Cross-curricular lessons present language in natural, real-life contexts. Students can take their
Build conversation skills, with functional language in the new Fluency Time! sections - even see the conversations in action, on the Fluency DVD. Cross-curricular lessons present language in natural, real-life contexts. Students can take their
Build conversation skills, with functional language in the new Fluency Time! sections - even see the conversations in action, on the Fluency DVD. Cross-curricular lessons present language in natural, real-life contexts. Students can take their
Build conversation skills, with functional language in the new Fluency Time! sections - even see the conversations in action, on the Fluency DVD. Cross-curricular lessons present language in natural, real-life contexts. Students can take their
Everybody Up (2E) 5 Student Book Everybody Up gets students talking about the real world. Posters, videos, stories, and songs link English to other school subjects and universal values, developing global citizens with 21st century
Kid's Box Second edition Class Book With CD-ROM Starters
Let's Begin: Level 1: Workbook with Online Practice - 5th Edition Inspire students to enjoy learning in English with a trusted methodology and easy-to-use teaching tools. Let's Go 5th Edition provides lively and motivating activities
Big English AmE 2Ed Level 1 Value Pack (SB + WB) Designed for achieving results, Big English 2nd Edition (American English) delivers comprehensive English language acquisition alongside CLIL and broader life skills, supported by unique
English File: Beginner: Student's Book 4th Edition With Online Practice English File's unique, lively and enjoyable lessons are renowned for getting students talking. In fact, 90% of English File teachers we surveyed in our Oxford Impact
Prepares students for the Advanced Listening and Speaking tests. Part of the Improve your Skills series, this book prepares students through pronunciation focus, test questions and listening tasks, along with MPO for further practice online.
Family and Friends: Level 2: Class Book, Second Edition Features for Family and Friends 2nd edition include real-world fluency development with supporting DVD, interactive Online Practice, new and updated assessment and testing material, and additional
Oxford Discover: Level 6: Student Book Pack, 2nd Edition The Oxford Discover Student Book is packed full of interesting content to keep students of all abilities fully engaged and motivated. The Oxford Discover App offers
Everybody Up (2E) 2 Student Book Everybody Up gets students talking about the real world. Posters, videos, stories, and songs link English to other school subjects and universal values, developing global citizens with 21st century
Oxford Discover 2nd Edition: Level 1: Student Book Pack The Oxford Discover Student Book is packed full of interesting content to keep students of all abilities fully engaged and motivated. The Oxford Discover App offers
Oxford Discover: Level 4: Student Book Pack The Oxford Discover Student Book is packed full of interesting content to keep students of all abilities fully engaged and motivated. The Oxford Discover App offers a visual
Big English AmE 2Ed Level 3 Value Pack (SB + WB) Big English is a 6-level, intensive primary course. Designed for achieving results, Big English provides a curriculum that delivers comprehensive English language acquisition underpinned
👁️ 130 | ⌚2025-10-06 01:05:14.139
PET 1 TEST 2 | Luyện nghe tiếng anh B1 có dịch nghĩa | Cambridge Preliminary English Test
Luyện nghe PET 1 TEST 1 | Có Đáp Án và Dịch nghĩa Tiếng Việt Chi Tiết | B1 Listening Practice
B1 Preliminary (PET) Listening Test 19 with answers (new format)
B1 Preliminary (PET) Listening Test 20 with answers (new format)
Study English online (B1). Preliminary English Test (PET) Listening Book 5 : Test 1 part 2
Study English online (B1). Preliminary English Test (PET) Listening Book 5 : Test 1 part 1

PET 1 TEST 2 | Luyện nghe tiếng anh B1 có dịch nghĩa | Cambridge Preliminary English Test
Luyện nghe PET 1 TEST 1 | Có Đáp Án và Dịch nghĩa Tiếng Việt Chi Tiết | B1 Listening Practice
B1 Preliminary (PET) Listening Test 19 with answers (new format)
B1 Preliminary (PET) Listening Test 20 with answers (new format)
Study English online (B1). Preliminary English Test (PET) Listening Book 5 : Test 1 part 2
Study English online (B1). Preliminary English Test (PET) Listening Book 5 : Test 1 part 1

-New Design chuyên hàng thiết kế những mẫu chân váy đẹp, mới lạ, thanh lịch công sở, văn phòng, hẹn hò đều đẹp. -Sản phẩm được thiết kế bởi New Design và may tại nhà,
Công suất: 5W Điện áp: 220V/50Hz Màu ánh sáng: Trắng/Vàng Độ rọi: 700 lux - Đèn bàn LED Rạng Đông bảo vệ thị lực - Cần đèn linh hoạt điều chỉnh độ cao và góc
English Name :Screwdriver SoftFinish electric Định mức Thử nghiệm theo tiêu chuẩn IEC 60900. Ứng dụng Đối với công việc trong khu vực của các bộ phận trực tiếp lên đến 1.000 V AC.
Mã đặt hàng 00822 Size 3,5 Chiều dài (mm) 204
Thông tin sản phẩm Tên sản phẩm: D6317 Dung tích: 300ml Quy cách: 6 chiếc/bộ Xuất sứ: Pháp Sản xuất: Trung Quốc Chất liệu: - Thủy tinh - Thủy tinh sạch không chì, không chứa
Cuốn hồi ký Gia đình, bạn bè và đất nước là lời tự sự chân thành và sâu sắc của bà Nguyễn Thị Bình – nhà ngoại giao lỗi lạc, biểu tượng kiên cường của
Có Lẽ Bạn Nên Gặp Bác Sĩ Tâm Lý ------------ Có Lẽ Bạn Nên Gặp Bác Sĩ Tâm Lý Với vai trò là nhà trị liệu đồng thời phải tiến hành trị liệu, Lori
COMBO TRANH TRUYỆN EHON - NHỮNG NGƯỜI BẠN ĐỘNG VẬT CÙNG CÁC BẠN ĐỘNG VẬT DỄ THƯƠNG HỌC HỎI VỀ CUỘC SỐNG VÀ RÈN LUYỆN KỸ NĂNG CẦN THIẾT Trong cuộc sống hiện đại
Sinh Ra Là Một Bản Thể Đừng Chết Như Một Bản Sao (Tái Bản ) Nếu câu trả lời là "CÓ" thì đã đến lúc bạn nên đọc Sinh ra là một bản thể, đừng chết
tiết lộ nguồn gốc của phần lớn khoa học hiện đại về hoạt động buôn bán nô lệ xuyên Đại Tây Dương vào những năm 1700, cũng như vai trò của Thomas Edison với sự
Combo 2 Quyển Giúp Bạn Quản Lí Cuộc Sống Cá Nhân: 40 Thói Quen Xấu Cần Vứt Bỏ + 50 Bài Học Cơ Bản Để Trở Thành Người Lịch Thiệp "Nhắc tới Tokio Godo hẳn
- Bút marker chất lượng cao được thiết kế có thể vẽ nét và sắc màu rất mượt, tô êm và mịn, phù hợp với người mới học vẽ - Có thể vẽ được trên
VÀ RỒI TÍN GẬY ĐÃ ĐƯỢC TRAO ĐI Mất mẹ từ khi còn rất nhỏ, Yuko sống với bố cho tới khi học lớp Hai, cô Rika xuất hiện. Những tưởng từ đây sẽ được
Sổ bìa bồi kẻ ngang B5 300 trang Hồng Hà Subject - 4536 phù hợp cho học sinh, sinh viên, văn phòng ghi chép thông tin cần thiết. Bề mặt giấy láng mịn, viết êm
Tua vit cách điện Wiha 42376 Kích thước bit: SL 2,5 Chiều dài lưỡi: 65mm Tổng chiều dài:167mm Phù hợp với tiêu chuẩn: VDE
Mã đặt hàng :01290 Size : T10 Chiều dài : 191 mm
Bộ Sách Đắc Nhân Tâm + Quẳng Gánh Lo Đi Và Vui Sống + Nghệ Thuật Nói Trước Công Chúng 1. Đắc Nhân Tâm - Cuốn sách hay nhất mọi thời đại đưa bạn đến
Những Người Gần Như Hoàn Hảo - Sự Thật Về Phép Màu Bắc Âu Một bức tranh đa sắc và hóm hỉnh đã hiện lên, làm bừng tỉnh sự thật về vùng đất có
ENNEAGRAM CĂN BẢN Enneagram là một hệ thống tính cách đầy năng lượng và linh hoạt, miêu tả chín mô hình cơ bản khác biệt nhau về cách suy nghĩ, cảm xúc và hành động.
Món Quà Của Linh Hồn - Sức Mạnh Chữa Lành Của Những Thử Thách Trong Cuộc Sống Dù con đường của bạn có bằng phẳng hay gập ghềnh, dù cuộc đời của bạn có